登录/
注册
搜题
下载APP
首页
考试
搜题
APP
资讯
当前位置:
首页
>
搜题
>
下列关于平均数的说法,正确的有()。
多选题
下列关于平均数的说法,正确的有()。
A. 平均数可以反映某一事物的平均水平
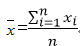
B. 对于未分组数据,平均数的计算公式为:
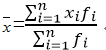
C. 对于分组数据,平均数的计算公式为:
D. 平均数的应用非常广泛,其计算方法更是简单
E. 平均数可以用于定性数据集中程度的测度
查看答案
相关试题
单选题
在其他因素保持不变的前提下,如果某种商品的价格下降,将产生的结果是()
需求减少_需求增加_需求量减少_需求量增加
答案
单选题
在同一条曲线上,价格与需求量的组合从A点移动到B点原因在于()
价格的变动_收入的变动_偏好的改变_需求的变动
答案
单选题
一般情况下,需求曲线是一条倾斜的曲线,其倾斜的方向为()
左下方_右上方_右下方_左上方
答案
单选题
在下面所列商品中,哪一种商品的需求价格弹性最大()
面粉_大白菜_洗衣粉_化妆品
答案
单选题
互补品的价格升高,对商品需求的影响是()。
需求上升_需求下降_需求不受影响_需求上升或下降
答案
单选题
根据需求理论,下列关于商品需求数量影响的表述不正确的是()。
该种商品的价格越高,该商品的需求量就会越小_互补品的价格提高将引起该商品需求量的降低_替代品价格的提高将引起该商品需求量的增加_消费者预期该种商品的价格在未来会上升,该商品的需求量会减少
答案
单选题
关于供求法则,下列说法正确的是()。
供给不变,需求增加,则均衡价格增加_供给不变,需求增加,则均衡数量减少_需求不变,供给增加,则均衡价格上升_需求不变,供给增加,则均衡数量下降
答案
单选题
根据需求法则,当苹果价格上升时,对香蕉的需求量将()。
减少_增加_先增加后减少_先减少后增加
答案
单选题
需求法则是指,就一般商品,()。
商品的价格降低,对商品的需求就会提高_商品的价格降低,对商品的需求就会降低_在其他因素不变的情况下,商品的价格越低,对商品的需求就越高_在其他因素不变的情况下,商品的价格越低,对商品的需求就越低
答案
单选题
假如鸡肉是猪肉的替代品,根据需求定律,当猪肉价格下降时,对鸡肉的需求()。
先增加后减少_先减少后增加_减少_增加
答案
热门试题
在其他因素保持不变的前提下,如果某种商品的价格下降,将产生的结果是()
在同一条曲线上,价格与需求量的组合从A点移动到B点原因在于()
一般情况下,需求曲线是一条倾斜的曲线,其倾斜的方向为()
在下面所列商品中,哪一种商品的需求价格弹性最大()
互补品的价格升高,对商品需求的影响是()。
根据需求理论,下列关于商品需求数量影响的表述不正确的是()。
关于供求法则,下列说法正确的是()。
根据需求法则,当苹果价格上升时,对香蕉的需求量将()。
需求法则是指,就一般商品,()。
假如鸡肉是猪肉的替代品,根据需求定律,当猪肉价格下降时,对鸡肉的需求()。